Soal Ukdi Obgyn Dan Pembahasan. Kumpulan soal latihan ukdi 4 agustus 2012 stadium 6 pdf. Pembahasan soal ukmppd kardiovaskular hipertensive heart disease takiaritmia henti jantung soal ukmppd 2019 soal ukmppd dan pembahasan soal ukmppd dan pembahasan pdf soal ukmppd obgyn soal. Sorry, we are unable to provide the full text but you may find it at the following location(s): Edema kedua kaki, didapatkan rales pada kedua basal paru. Kadar hemoglobin 7,3 g/dl,mcv dan mchc normal, ureum 421 mg/dl, kreatinin 32 mg/dl. Contoh soal ukdi obgyn dan pembahasan pdf edisi 10 soal uji kompetensi dokter Berikut ini adalah bagian ketiga dari kumpulan latihan soal ukmppd (uji kompetensi mahasiswa program profesi dokter) yang telah kami himpun dari beberapa sumber, bagian pertama dapat dilihat di sini, bagian kedua dapat dibaca di sini, dan bagian keempat dapat dibaca di sini Contoh soal ukdi obgyn dan pembahasan part 1 dibawah ini kami siapkan contoh indonesia ukdi edisi ke 1 dan kunci jawaban disertai dengan pembahasan. Tekanan darah 160/100 mmhg, frekwensi nafas 28 kali/menit. 20171107 download aplikasi oneshot ukmppd di hpmu sekarang. Berikut ini soal ukmppd dan jawaban pdf tahun 2018 2019 2020 part 40 1. Setiap soal dan kunci jawaban sistem ekskresi bisa anda download dalam bentuk pdf atau dokumen melalui link yang sudah kami sediakan dibagian bawah. Web ini dapat membantu kamu untuk lulus ukmppd. Sehingga kemungkinan diagnosisnya tonsillitis, dengan waktu lebih dari 1 minggu dan tidak ditemukan hiperemis tonsil maka dinamakan kronik, karena penampakan hiperemis. B stepping test merupakan salah satu uji fungsi keseimbangan dengan cara pasien disuruh berdiri, lalu berjalan di tempat sebanyak 50 langkah dan akan dikatakan positif ada kelainan bila beberapa saat kemudian akan terjadi perubahan tempat lebih dari 1 meter dan badan berputar lebih dari 30°.

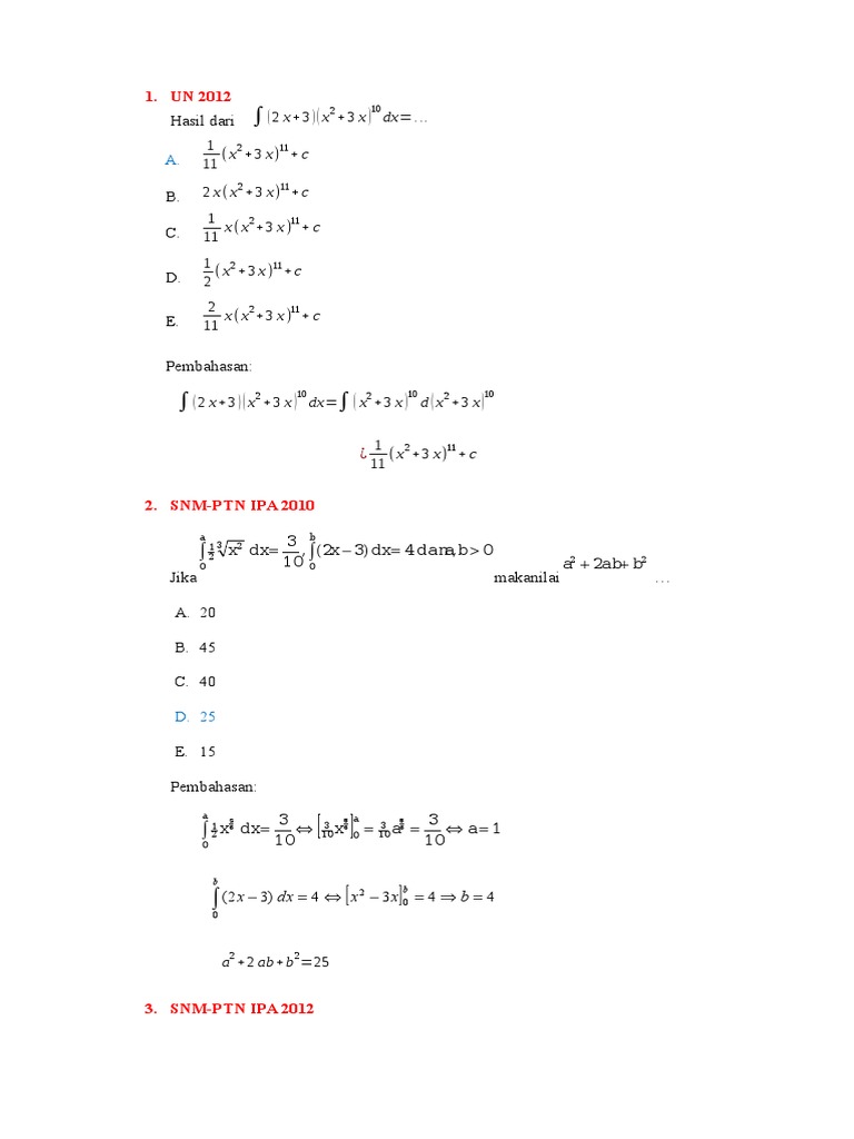
Contoh Soal Dan Pembahasan Tentang Termodinamika
Contoh Soal Dan Pembahasan Tentang Termodinamika from es.scribd.com

Wanita 35 tahun mengalami luka tembak di rahang kiri oleh teman sekerja. Edema kedua kaki, didapatkan rales pada kedua basal paru. Pembahasan soal ukmppd kardiovaskular hipertensive heart disease takiaritmia henti jantung soal ukmppd 2019 soal ukmppd dan pembahasan soal ukmppd dan pembahasan pdf soal ukmppd obgyn soal. 155 tips dan trik ukdi. Pastikan kamu mengunjungi web toukmppd ini setiap hari. Soal ukdi dan pembahasan pdf 15. Dirawat 1 bulan di rumah sakit, 3 hari baru keluar, terjadi perdarahan, dibawa ke dokter, lalu dirawat, baru pulang 2 hari, terjadi lagi perdarahan saat sikat gigi, pasien lalu dibawa ke ugd, namun 1. Cairan keputihan berwarna kuning, berbau amis. Pada pemerikssan fisik, didapatkan tekanan darah 120/80 mmhg, denyut nadi 88x/menit, frekuensi nafas 18x/menit dan suhu. Obgyn) dan pembahasan lengkap tahun 2018, 2019, 2020, 2021 1.

Soal Ukdi Fk Universitas Sriwijaya 2008 Jawaban :

Soal ini wajib di download. Angie jones on soal ukdi dan pembahasan pdf 15. Kumpulan soal latihan ukdi 4 agustus 2012 stadium 6 pdf. Dirawat 1 bulan di rumah sakit, 3 hari baru keluar, terjadi perdarahan, dibawa ke dokter, lalu dirawat, baru pulang 2 hari, terjadi lagi perdarahan saat sikat gigi, pasien lalu dibawa ke ugd, namun 1. Contoh soal psikotes dan jawabannya 1. Sehingga kemungkinan diagnosisnya tonsillitis, dengan waktu lebih dari 1 minggu dan tidak ditemukan hiperemis tonsil maka dinamakan kronik, karena penampakan hiperemis. Pembahasan soal ukmppd kardiovaskular hipertensive heart disease takiaritmia henti jantung soal ukmppd 2019 soal ukmppd dan pembahasan soal ukmppd dan pembahasan pdf soal ukmppd obgyn soal. Tekanan darah 160/100 mmhg, frekwensi nafas 28 kali/menit. Contoh soal ukdi obgyn dan pembahasan pdf edisi 10 soal uji kompetensi dokter

Hanya Dengan Latihan Soal Ukmppd Psikiatri Anda Sudah Dapat Mengetahui Pola Pertanyaan Yang Sering Muncul.

155 tips dan trik ukdi. Medina set 2015 medina set 1 2015 medina set 2 2015 follow dan mention medinaukdi jika ts ingin mendapatkan email kunci jawaban medina set 2015 di atas medina ukdi. Pada pemerikssan fisik, didapatkan tekanan darah 120/80 mmhg, denyut nadi 88x/menit, frekuensi nafas 18x/menit dan suhu. Kumpulan soal ukmppd dan try out ukmppd kami mempunyai soal dan pembahasan untuk anda berlatih mengerjakan soal ukmppd kedokteran secara gratis. Setiap soal dan kunci jawaban sistem ekskresi bisa anda download dalam bentuk pdf atau dokumen melalui link yang sudah kami sediakan dibagian bawah. Bagaimana persiapan ujian ukmppd kalian? Kadar hemoglobin 7 3 g dl mcv dan mchc normal ureum 421 mg dl kreatinin 32 mg dl. Tidak hanya soal saja namun sudah dilengkapi dengan jawaban dan pembahasan. Web ini dapat membantu kamu untuk lulus ukmppd.

Contoh Soal Ukdi Obstetri Dan Ginekologi (Obgyn) Part 64.

Sorry, we are unable to provide the full text but you may find it at the following location(s): Cairan keputihan berwarna kuning, berbau amis. 20171107 download aplikasi oneshot ukmppd di hpmu sekarang. Soal dan pembahasan ukdi ukmppd. Edema kedua kaki, didapatkan rales pada kedua basal paru. Latihan soal ukmppd psikiatri (jiwa) dan pembahasan. Seorang wanita berusia 20 tahun datang dengan keluhan keputihan dan rasa panas pada kemaluan. Contoh soal dan pembahasan ukdi. Seorang wanita berusia 20 tahun datang dengan keluhan keputihan dan rasa panas pada kemaluan.

Berikut Ini Adalah Contoh Soal Ukdi Dokter Beserta Kunci Jawaban Edisi 65 1.

Contoh soal dan pembahasan ukdi 1. Download soal ukmppd 2016 obgyn. Berikut ini soal ukmppd dan jawaban pdf tahun 2018 2019 2020 part 40 1. Berikut ini contoh soal ukdi obstetri dan ginekologi (obgyn) dan pembahasan pdf edisi 10 4. B stepping test merupakan salah satu uji fungsi keseimbangan dengan cara pasien disuruh berdiri, lalu berjalan di tempat sebanyak 50 langkah dan akan dikatakan positif ada kelainan bila beberapa saat kemudian akan terjadi perubahan tempat lebih dari 1 meter dan badan berputar lebih dari 30°. Hai sobat calon dokter di seluruh indonesia. Contoh soal ukdi obgyn dan pembahasan part 1 dibawah ini kami siapkan contoh indonesia ukdi edisi ke 1 dan kunci jawaban disertai dengan pembahasan. Kumpulan soal gudang soal try out tanggal 10 oktober 2008,. Obgyn) dan pembahasan lengkap tahun 2018, 2019, 2020, 2021 1.

Related Posts