Contoh Surat Pernyataan Ganti Rugi. Surat pernyataan ganti rugi merupakan salah satu hal wajib yang harus kamu cermati, terlebih jika lahan atau hunian rumah berlokasi di tempat yang strategis. Contoh surat permohonan permintaan surat kuasa kerja : Format contoh surat keterangan ganti rugi terlengkap 2019. Contoh surat perjanjian ganti rugi. Contoh surat pernyataan tidak dipidana dengan pidana penjara berdasarkan putusan pengadilan. Apabila dalam waktu 3 24 jam bapak tidak menindaklanjuti permohonan ganti rugi saya maka akan melaporkan kepada pihak yang berwajib. Berikut ini contoh surat keterangan ganti rugi lahan garapan yang berada di area kawasan register hutan dari badan pertanahan. Bayaran ganti rugi, surat tuntutan, tuntutan bayaran. Selain contoh ganti rugi yang berhubungan dengan sewa rumah dan kecelakaan surat pernyataan bersedia membayar ganti rugi dibawah ini bisa dimodifikasi untuk mengganti kerugian yang diakibatkan misalnya. Download contoh surat pernyataan ganti rugi kerusakan bagi contoh format 768 x 1024 pixel. Namun, agar tidak perlu membuat surat pernyataan ganti rugi kecelakaan, jangan lupa untuk berkendara dengan baik, dan pastikan kendaraanmu sudah terlindungi dengan asuransi mobil. Kumpulan gambar contoh surat pernyataan ganti rugi tanah terbaik 2019. Download simulasi proses administrasi dengan meto format 400 x 500 pixel. Jl raya kalitidu ngasem no 97 kalitidu rt 03 rw 01 kalitidu kab bojonegoro. Download surat pernyataan tidak menuntut ganti rugi docx format 768 x 1024 pixel.

Bentuk Surat Pernyataan Tidak Menuntut Ganti Rugi
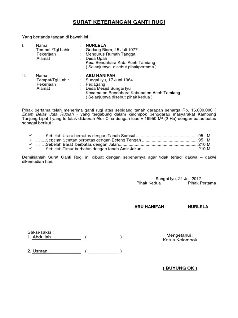
Bentuk Surat Pernyataan Tidak Menuntut Ganti Rugi from www.scribd.com

Download surat pernyataan tidak menuntut ganti rugi docx format 768 x 1024 pixel. Surat ini sebenarnya tidak wajib untuk digunakan jika orang yang bertanggung jawab tersebut langsung membayar ganti rugi yang dia sebabkan. Contoh surat pernyataan kesanggupan membayar ganti rugi. Misalnya, ketika anda ingin mendaftar menjadi pegawai negeri sipil (pns) di departemen tertentu, anda diwajibkan untuk membuat pernyataan untuk tidak mengundurkan diri setelah diterima. Surat pernyataan tidak sedang memperoleh bantuan pendidikan dari instansi banpem. Apabila dalam waktu 3 24 jam bapak tidak menindaklanjuti permohonan ganti rugi saya maka akan melaporkan kepada pihak yang berwajib. Ini syarat dan contoh surat ganti rugi tanah. Contoh surat tuntutan bayaran ganti rugi yang baik sebagai bahan referensi dalam pembuatan surat tuntutan dengan secara profesional. Kumpulan gambar contoh surat pernyataan ganti rugi tanah terbaik 2019. Demikian surat keterangan ganti rugi ini kami buat dengan sebenarnya, tanpa ada paksaan dari pihak lain dan untuk dapat dipergunakan seperlunya.

Karena Itu, Surat Perjanjian Pembayaran Diatas Sah Di Mata Hukum.

Berikut ini contoh surat keterangan ganti rugi lahan garapan yang berada di area kawasan register hutan dari badan pertanahan. Selain contoh ganti rugi yang berhubungan dengan sewa rumah dan kecelakaan, surat pernyataan bersedia membayar ganti rugi dibawah ini bisa dimodifikasi untuk mengganti kerugian yang diakibatkan misalnya: Contoh surat permohonan permintaan surat kuasa kerja : Berikut ini contoh surat penyerahan ganti rugi tanah pekarangan atas tanah yang. Dalam contoh surat pernyataan tidak menuntut gawe cv telah memilihkan tema atau template yang terbaik untuk dijadikan inspirasi ide ataupun acuan dalam penulisan surat anda. Surat pernyataan ganti rugi kehilangan ini bisa anda gunakan jika ada seseorang yang dengan sengaja atau tidak sengaja menghilangkan barang atau uang milik anda, biasanya surat ganti rugi ini digunakan di perusahaan yang kehilangan barangnya di. Seperti kita ketahui bahwa lahan garapan yang berada di area register hutan lindung hanya boleh digarap dan tidak boleh dijual belikan maka dari itu apabila tanah kebun bermaksud di pindah tangan diperbolehkan dalam bentuk ganti rugi lahan atas tanaman yang telah di tanam di lahan tersebut. Jl raya kalitidu ngasem no 97 kalitidu rt 03 rw 01 kalitidu kab bojonegoro. Download surat pernyataan tidak akan menuntut ganti rugi pdf format 1200 x 630 pixel.

The Collection That Consisting Of Chosen Picture And The.

Surat ini sebenarnya tidak wajib untuk digunakan jika orang yang bertanggung jawab tersebut langsung membayar ganti rugi yang dia sebabkan. Contoh surat tuntutan bayaran ganti rugi yang baik sebagai bahan referensi dalam pembuatan surat tuntutan dengan secara profesional. Ini syarat dan contoh surat ganti rugi tanah. Misalnya, ketika anda ingin mendaftar menjadi pegawai negeri sipil (pns) di departemen tertentu, anda diwajibkan untuk membuat pernyataan untuk tidak mengundurkan diri setelah diterima. Download surat pernyataan tidak menuntut ganti rugi docx format 768 x 1024 pixel. Namun, agar tidak perlu membuat surat pernyataan ganti rugi kecelakaan, jangan lupa untuk berkendara dengan baik, dan pastikan kendaraanmu sudah terlindungi dengan asuransi mobil. Surat pernyataan ganti rugi merupakan salah satu hal wajib yang harus kamu cermati, terlebih jika lahan atau hunian rumah berlokasi di tempat yang strategis. Download contoh surat pernyataan ganti rugi kerusakan bagi contoh format 768 x 1024 pixel. Contoh surat pernyataan ganti rugi tanah have an image from the other.contoh surat pernyataan ganti rugi tanah it also will include a picture of a kind that could be observed in the gallery of contoh surat pernyataan ganti rugi tanah.

Contoh Surat Pernyataan Ganti Rugi.

Download contoh surat komplain untuk kerusakan barang. Dusun amal, desa tanjung sarang elang, kec. Contoh surat pernyataan tidak dipidana dengan pidana penjara berdasarkan putusan pengadilan. Apabila dalam waktu 3 24 jam bapak tidak menindaklanjuti permohonan ganti rugi saya maka akan melaporkan kepada pihak yang berwajib. Contoh surat pernyataan tidak pernah diberhentikan dengan hormat dan tidak hormat. Surat perjanjian ganti rugi adalah surat yang digunakan ketika anda mengalami kerugian dikarenakan pihak lain dan pihak tersebut mau. Jika kamu pernah mengalami sengketa tanah, maka mencari tahu cara membuat surat ganti rugi tanah wajib kamu ketahui. Seperti kita ketahui bahwa lahan garapan yang berada di area register hutan lindung hanya boleh digarap dan tidak boleh dijual belikan maka dari itu apabila tanah kebun bermaksud di pindah tangan diperbolehkan dalam bentuk ganti rugi. Contoh surat pernyataan bersedia membayar ganti rugi sewa rumah demikianlah contoh surat tuntutan ganti rugi kerusakan terimakasih telah membaca artikel contoh surat tuntutan ganti rugi kerusakan semoga contoh surat tuntutan ganti rugi kerusakan ini dapat bermanfaat bagi anda.

Contoh Surat Perjanjian Sewa Rumah Ruko Kios Di 2020 Bor Proposal Surat.

Contoh surat tidak menuntut ganti rugi. Karena itu, dibutuhkan surat pernyataan ganti rugi kecelakaan sebagai tanggung jawab mengganti kerugian akibat kecelakaan lalu lintas yang terjadi. Contoh surat pernyataan ganti rugi surat pernyataan ganti rugi sehubungan dengan persyaratan yang ditetapkan dan diwajibkan untuk menjadi calon pegawai negeri sipil pada departemen pekerjaan umum tahun 2018 saya yang bertanda tangan di bawah ini. Jenis pernyataan ini lebih banyak dipakai saat hendak bekerja. Kumpulan gambar contoh surat pernyataan ganti rugi tanah terbaik 2019. 07 nov, 2021 posting komentar terdapat beberapa contoh surat kuasa yang sangat diperlukan untuk melihat. Download surat pernyataan tidak akan menuntut di kemudian hari format 1190 x 1684 pixel. Bayaran ganti rugi, surat tuntutan, tuntutan bayaran. Surat pernyataan tidak sedang memperoleh bantuan pendidikan dari instansi banpem.

Related Posts